
01培养目标
创新领军工程博士教育旨在培养工程类别创新领军人才。创新领军工程博士专业学位获得者,应在相关工程类别具有坚实宽广的基础理论和系统深入的专门知识,应具备解决复杂工程技术问题、进行工程技术创新以及规划和组织实施工程技术研究开发工作的能力,能够在所在工程类别做出创新性成果。
02专业学位类别
◼ 电子信息(代码0854):精密仪器系、电子工程系、计算机科学与技术系、自动化系、集成电路学院、医学院、软件学院、网络科学与网络空间研究院、深圳国际研究生院
◼ 机械(代码 0855):机械工程系、车辆与运载学院、工业工程系、航天航空学院、美术学院、航空发动机研究院、深圳国际研究生院
◼ 材料与化工(代码0856):化学工程系、材料学院、深圳国际研究生院
◼ 资源与环境(代码0857):环境学院、工程物理系、深圳国际研究生院
◼ 能源动力(代码0858):能源与动力工程系、车辆与运载学院、电机工程与应用电子技术系、工程物理系、核能与新能源技术研究院、深圳国际研究生院
◼ 土木水利(代码0859):建筑学院、土木工程系、水利水电工程系、深圳国际研究生院
03培养方式
创新领军工程博士(非全日制)的培养结合所在工程类别重大工程技术问题,实行校企合作、多学科交叉培养。可采取校内导师和企业导师2联合指导方式,并鼓励根据研究课题组成论文指导小组;创新领军工程博士生校内导师由我校认定的工程博士生导师担任,企业导师由合作企业或相关领域专家担任,一般应具有正高级专业技术职称。
04修业年限
创新领军工程博士生的基本修业年限为3-4年,最长修业年限8年。具体要求应当符合《清华大学研究生学籍管理规定》。
05课程(环节)设置及学位要求学分
获得学位要求学分不少于13学分。具体设置如下:
1、创新模块(3学分,必修)

2、专业课程模块(不少于2学分,必修)
在导师(小组)的指导下选修不少于2学分与所从事工程类别相关的专业课。特色项目创新领军工程博士生也可选修所在项目开设的特色专业课程。
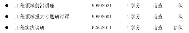
3、领导力及职业素养模块(不少于6学分)
必修课程

限选课程(以下二选一或全选)

任选课程(以下课程视情况开设,学生可选修至满足学分要求)

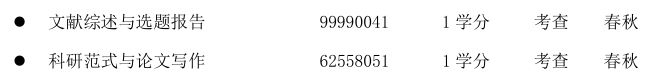
4、文献综述与选题报告模块(2学分,必修)

注:凡欠缺所在类别本硕层次基础知识的创新领军工程博士生,应在导师(小组)指导下适当补修有关课程,补修课程所得学分不计入学位要求学分。
06学位论文工作与创新成果要求
1、制订个人培养计划
创新领军工程博士生入学后,应在导师(小组)指导下制订个人培养计划。
个人培养计划是导师(小组)开展个性化指导、创新领军工程博士生开展课程学习与研究工作的依据,也是对创新领军工程博士生进行毕业及授予学位审查的依据,主要包括课程(环节)学习计划和学位论文工作计划。其中,课程(环节)学习计划应在入学后三周内制订完成,学位论文工作计划应在论文选题时制订完成。
创新领军工程博士生只能在学期选课报名阶段和选课调整阶段(即补退选阶段)在系统中制订/修改个人培养计划。完成个人培养计划制订/修改后,应当自行打印个人培养计划,经导师(小组)、院系主管副院长(副主任)核准签字后报院系备案。
2、学位论文质量全过程管理环节
创新领军工程博士生学位论文质量全过程管理环节包括资格考试、选题报告、学术活动与学术报告、年度进展报告/中期检查、最终研究报告五个必修环节。
(1)创新领军工程博士生是其学位论文的直接责任人,应当在导师(小组)指导下潜心学习,积累实践经验,恪守学术道德和规范,努力完成高质量的学位论文。
(2)导师是创新领军工程博士生培养的第一责任人,应加强对创新领军工程博士生学位论文的全过程指导和质量把关。
(3)工程博士学位论文质量全过程管理环节原则上由创新领军工程博士生所在院系或工程专业学位中心组织实施。各院系应加强对工程博士生学位论文工作进展的督促及质量把关,完善全过程质量管理细则、考核要求和考核方式,完善退出和分流措施;工程专业学位中心可对各院系工程博士全过程质量管理进行抽查,抽查结果报研究生院并在一定范围内公布。
(4)创新领军工程博士生学位论文质量全过程管理环节的具体分流要求与措施按照各院系全过程管理细则执行。
3、创新成果要求
创新领军工程博士生的创新成果要求参见《清华大学创新领军工程博士研究生申请学位创新成果要求》。
4、学位论文研究工作要求
创新领军工程博士学位论文是创新领军工程博士生攻读学位期间在导师(小组)指导下独立完成的创新成果的完整呈现,是创新领军工程博士生进行学位评定的主要依据。
创新领军工程博士学位论文选题应与解决重大工程技术问题、实现企业技术进步和推动产业升级紧密结合,学位论文研究成果应具有工程技术创新性,学位论文工作应具有工程应用价值或经济社会效益。
来源|清华大学










